解题技巧 圆锥曲线焦半径三部曲 坐标式
解题技巧 圆锥曲线焦半径三部曲 坐标式
大家好,今天讲焦半径。
我们先讲焦半径的坐标形式
一、椭圆焦半径
左加右减,下加上减
左加右减,下加上减
左加右减,下加上减
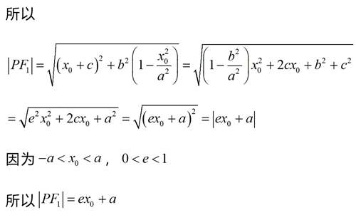
椭圆第二定义:椭圆上的点到焦点的距离与到对应准线的距离之比等于离心率。上述焦半径公式可用椭圆第二定义也可以快速推导出,如果不愿记忆就掌握其推导方法。
二、双曲线焦半径
注:公式也符合“左加右减,下加上减“。与椭圆相比多了一个绝对值,去掉绝对值方法口诀为“长正短负”。
如上图的PF1为“长的焦半径”,PF2为“短的焦半径”,即PF1=|a+ex|=a+ex
PF2=|a-ex|=-(a-ex)
证明方法与椭圆类似,不再赘述。
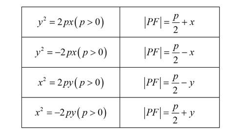
三、抛物线焦半径
焦半径公式老师建议不要刻意去背诵了。推导非常简单,实在要记忆,根据准线的位置,公式也符合“左加右减,下加上减”。
关于圆锥曲线焦半径三部曲第一曲——坐标式就介绍到这儿。下一期我们讲第二曲——角度式,想都是问题,做才是答案,记得动笔哦
以上就是(解题技巧 圆锥曲线焦半径三部曲 坐标式)全部内容,收藏起来下次访问不迷路!
86%的人还看了:(推文)(找得着北)0901治愈 网恋 年上